日前,很多短視頻平臺發布內容稱,靠礦泉水瓶和風扇,就能做出一個節能減排的“空調”。那么這是真的嗎?
從前面的簡易實驗視頻,基本上已經能說明問題了。不過,為了嚴謹起見,咱們還是要完整地梳理一下。
首先,關于最近網上流傳的“電風扇+半截礦泉水瓶”的“自制空調”裝置,并不是最新發明。
礦泉水瓶做“空調”,早在2016年6月,國外網站上就有類似的裝置,當時被命名為“零耗電”空調(“Zero Electricity” Air Conditioner)或環保降溫器(Eco-Cooler),聲稱能降溫5℃。

這個國外的裝置和最近國內流傳的“電風扇+半截礦泉水瓶”的“自制空調”本質上是一樣的,所不同的是國外的使用塑料瓶與木板組成的通風裝置是直接裝在房間的窗戶上,利用的是戶外的自然風,連電風扇都不用,因而噱頭更大,若能實現,將是真正的“零能耗”。
那么這種“空調”到底有沒有效果呢?
有效沒效,實驗室里見真章
有很多人,包括中學物理教師都做過類似的實驗,但并沒有測量到明顯的降溫效果。2018年,筆者作為上海師范大學學科教學(物理)專業研究生學位點負責人、數理學院物理系教授,指導的一篇物理學專業的本科畢業論文《對一種“不耗電空調”的檢驗》,對這個問題也進行過較為深入的理論分析和實驗檢驗。
在實驗中,學生發現通過這個裝置之后的空氣溫降基本上在0.2℃以內,遠遠低于網傳的5℃,而且大部分情況是通過這個裝置之后的空氣溫度往往有所上升。
而對于“風扇+礦泉水瓶”的情況,在本文開頭的視頻中,我們也可以發現,通過礦泉水瓶的空氣溫度確實也沒有顯著變化。
但是,確實有不少朋友反映加了礦泉水瓶確實吹起來更涼快了,這難道是錯覺嗎?
體感溫度≠溫度
為何加了這個裝置之后,人往往有更涼爽的感覺呢?這首先要區分兩個概念:實際的降溫效應和體感降溫效應。
實際的降溫效應是指真實氣體的降溫效應,可以通過測溫儀器來檢測。對于實際物體,可以直接放置溫度計來測量溫度,也可以通過紅外測溫儀或紅外熱像儀來測量。根據前面所述,加裝礦泉水瓶并沒有明顯的降溫效果,甚至可能出現溫度略微升高的情況。
體感降溫效應則是由于人體體表的蒸發制冷所造成的。由于增加了塑料瓶,使得電風扇扇形的出風口變小,在特定區域內氣流流速增大,使人體體表蒸發更快,所以感到溫度降低。不過,這是以電風扇出風面積的減少為代價的。
另外,蒸發制冷效應和降溫效應是兩個概念。如果將人體換成干燥的金屬小球,并不能測出小球溫度的降低。當然,如果在小球上裹上一層濕紙巾/濕毛巾,此時,由于蒸發制冷效應,也能測出溫度降低。從本文開頭的視頻中我們也能看到,氣流吹拂導致的蒸發會讓濕硬紙板的表面溫度降低好幾攝氏度。
要想弄明白一種現象,既需要實驗數據,也需要理論支持,接下來咱們就從理論角度,看看該怎么解釋。
理論計算
這個裝在窗戶上的裝置到底在理論上有沒有可能存在降溫效果呢?這是一個比較復雜的問題,只能通過從理論上構建一個理想物理模型來探討。
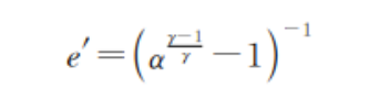
2017年《物理通報》雜志上曾經有一篇論文討論過這個問題,通過將流動的氣體經過縮小的瓶口進入房間的過程假想為兩個絕熱+兩個等壓的可逆制冷機來計算,其計算出的制冷系數為:

其中α為氣體在瓶口被壓縮后的壓強與之前壓強的比值,γ為比熱容比,對于空氣而言:
γ=7/5=1.4
制冷機的能量來自何處?為了理論推導,我們假設流動空氣(微風)的動能提供制冷機的工作能源。作如下假設:安裝礦泉水瓶的窗戶面積為1m2,電風扇或戶外風速一般為5m/s,假設風速垂直于窗戶,則在單位時間1s內有5m3內的空氣(質量為1.29kg/m3×5m3≈6.5kg)以速度5m/s吹向窗戶。
其動能為:

假設房間為4m寬×5m長×3m高,則總表面積為94m2,查得一般建筑材料的導熱率κ在0.2~1W/(m·K)之間,取0.5W/(m·K),如干磚的熱導率κ約為0.27W/(m·K),假設保持室內外5℃的溫差,假設墻壁厚度為0.2m,則:
dT/dz=5℃/0.2m=25℃/m
則由傅立葉定律可得單位1s時間內從室外傳導到室內的熱量為:
Q=0.5W/(m·K)×25(℃/m)×94m2=1175J≈1000J
這些熱量是需要通過制冷機將其傳輸到室外的,假設前面估計的微風的動能全部用來提供制冷機工作的能源(這只是理論上的,實際上不可能實現),由

可以求得:α≈1.4,即要求微風空氣流或電風扇的微風在從瓶底吹向瓶口的壓縮過程中,其大氣壓要從1個大氣壓增大到1.4個大氣壓,這是難以實現的。因此從理論上的分析來看,是有降溫效果,但遠達不到5℃的降溫效果。上面探討的是將這個裝置放在窗戶上,通過室外的微風動能作為能量,從理論上來分析,是有這個可能,只是降溫效果特別小。
回到這次的“礦泉水瓶+風扇”裝置,也就是在室內的電風扇出風口處裝上礦泉水瓶的裝置,如上述可知,這個裝置從理論上也沒有降溫效果。這是因為電風扇放在室內,電風扇需要耗能,從能量守恒的角度,室內溫度只會越來越高,不可能像空調那樣能起到給室內降溫的效果。這個道理就相當于在室內打開電冰箱的門,顯然是不能讓室內有降溫效果的,反而會使室內越來越熱,溫度越來越高。
編輯的話:本次實驗有其局限性,使用的是民用級測量器材,也并沒有在專業實驗室中進行操作,可能存在一定的誤差,歡迎大家積極思考、質疑和嘗試。